harmless (<1K) Elite Design Scans
Selected scans from Ian Bells "Elite" design documents
This image folder is also available zipped [c3030001.zip]
elite (<1K)
First Sketch (105Kbyte) Initial concept.
Note:
  • reconnaisance-captured image strip and status column intended to restrict width of updated area to 256 pixels.
  • Early "open box" scanner.
Second Sketch (101Kbyte)
Flight Model (57Kbyte) The classic Elite control model and the approximsation utilised.
Goat Soup 1 (131Kbyte) The Goat Soup Recipe. Add art graduates and allow to stew.
Goat Soup 2 (16Kbyte)
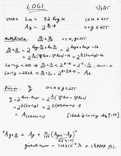
Log notes (64Kbyte) "Log multiply technology" used to speed up C64 Elite.
Adder Scan (60Kbyte) Design for Adder ship.
Gecko Scan (72Kbyte) Design for Gecko ship.
Gnat Scan (79Kbyte) Design for Gnat ship (later 6502 versions only).

Out (<1K) Back to Elite Home Page Out (<1K)
Back to Ian Bell's home page